
Для освещения, питания телевизора, холодильника и других электроприборов. Не надо усовершенствовать электросчетчик, изменять электропроводку, подключаться к "соседу", заменять имеющиеся электроприборы - ничего этого делать не надо! Вы сможете сэкономить сотни рублей при оплате за электроэнергию. Все законно, и никакого обмана государства. Выгодно и просто
Принцип питания электроприборов в быту:
В квартире электроприборы к сети подключаются параллельно, так как U=220 В и постоянно по величине, то каждое новое включение увеличивает потребляемый ток:

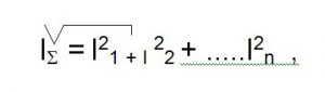
Предлагаем Вам новое изобретение. Суть его в том, что часть нагрузки запитывается через большую емкость С = (10 - 50 мкФ). При прохождении тока через ёмкость происходит сдвиг фаз между током и напряжением на 900. Ток в общей цепи при этом уже не будет равен сумме отдельных токов, а рассчитывается по формуле:
то есть меньше, чем I= I1+ I2+....In , без ёмкости С.
Можно запитывать осветительные, обогревательные устройства, холодильники типа «Морозко» (без электродвигателей), новые телевизоры (без трансформатора) и другие электроприборы.
Вот реализовать бы данный способ еще и на практике.